Multivariate bias correction of regional climate model boundary conditions
Authors:
Youngil Kim, Jason Evans, and Ashish Sharma
Published year:
2023

Research purpose
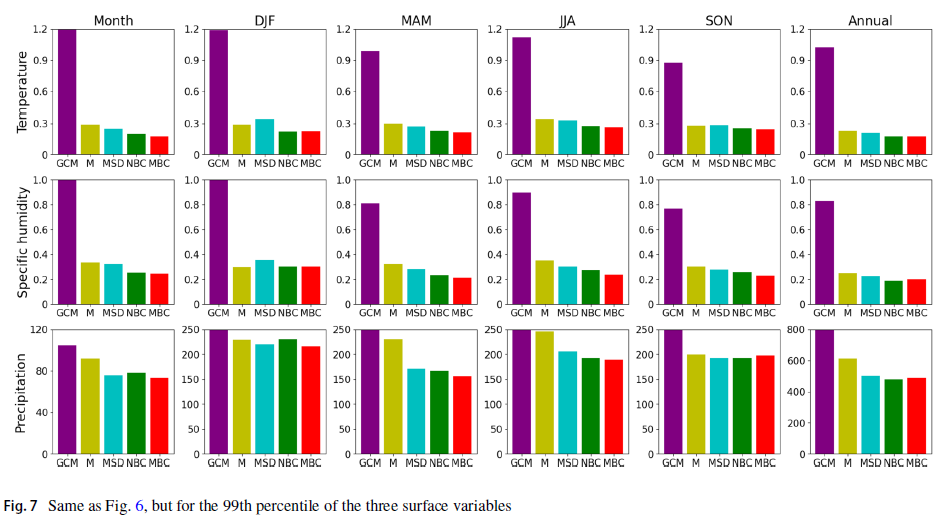
Improving modeling capacities requires a better understanding of both the physical relationship between the variables and climate models with a higher degree of skill than is currently achieved by Global Climate Models (GCMs). Although Regional Climate Models (RCMs) are commonly used to resolve finer scales, their application is restricted by the inherent systematic biases within the GCM datasets that can be propagated into the RCM simulation through the model input boundaries. Hence, it is advisable to remove the systematic biases in the GCM simulations prior to downscaling, forming improved input boundary conditions for the RCMs. Various mathematical approaches have been formulated to correct such biases. Most of the techniques, however, correct each variable independently leading to physical inconsistencies across the variables in dynamically linked fields. Here, we investigate bias corrections ranging from simple to more complex techniques to correct biases of RCM input boundary conditions. The results show that substantial improvements in model performance are achieved after applying bias correction to the boundaries of RCM. This work identifies that the effectiveness of increasingly sophisticated techniques is able to improve the simulated rainfall characteristics. An RCM with multivariate bias correction, which corrects temporal persistence and inter-variable relationships, better represents extreme events relative to univariate bias correction techniques, which do not account for the physical relationship between the variables.
Concluding mark
Despite the efforts to understand single drivers of extremes, most major weather and climate-related catastrophes are caused by a joint occurrence of different types of extreme events. Correcting single variables independently, as many previous studies have done under the assumption that there is no (or negligible) bias in the dependence structure, limits the model performance in the simulation of extreme events. Although several studies have used sophisticated approaches that also corrected lag1 auto- and lag0 cross-correlation across variables to deal with inter-variable relationships, only the surface variables of the model outputs, such as precipitation and temperature, have been addressed. This study investigated whether correcting the RCM input boundary conditions could reduce bias inside the domain. Several bias correction techniques have been applied, from simple scaling, which has been used in previous studies, to sophisticated techniques, which can correct persistence and physical relationships between the variables compared to the reanalysis data. The corrections were applied to all the vertical levels of GCM based on four statistics: mean, standard deviation, lag1 auto-correlation, and lag0 cross-correlation. Substantial improvements in model performance are shown after applying bias correction to the boundaries of the RCM in the statistics used here. This work shows that the effectiveness of increasingly sophisticated techniques substantially improves rainfall characteristics. The RCM with multivariate bias-corrected input boundary conditions represents extreme events better than univariate bias correction techniques, which do not account for the physical relationship between the variables. This suggests that incorporating sophisticated bias correction methods can greatly enhance the accuracy of RCM simulations in capturing the complexity of extreme weather events.






