Impact of bias correction of regional climate model boundary conditions on the simulation of precipitation extremes
Authors:
Youngil Kim, Eytan Rocheta, Jason Evans, and Ashish Sharma
Published year:
2020

Research purpose
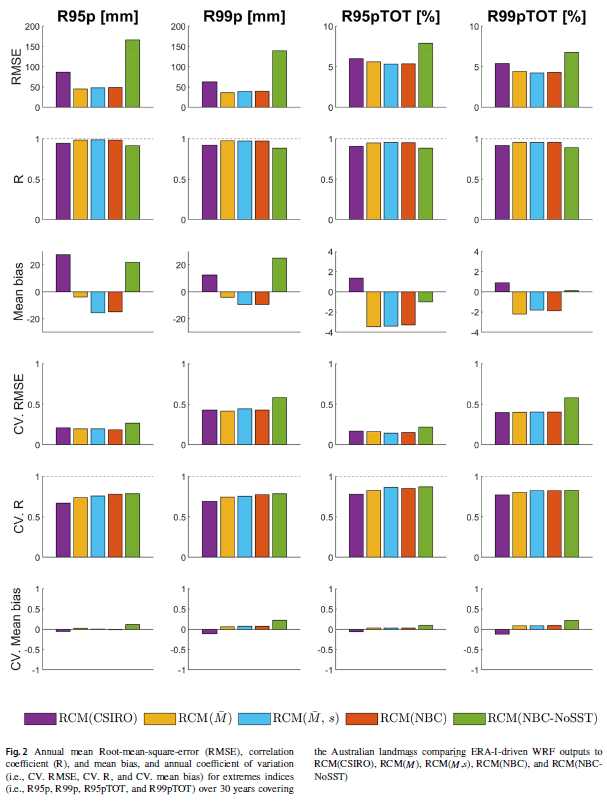
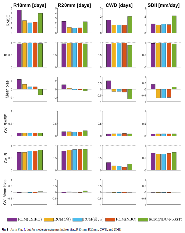
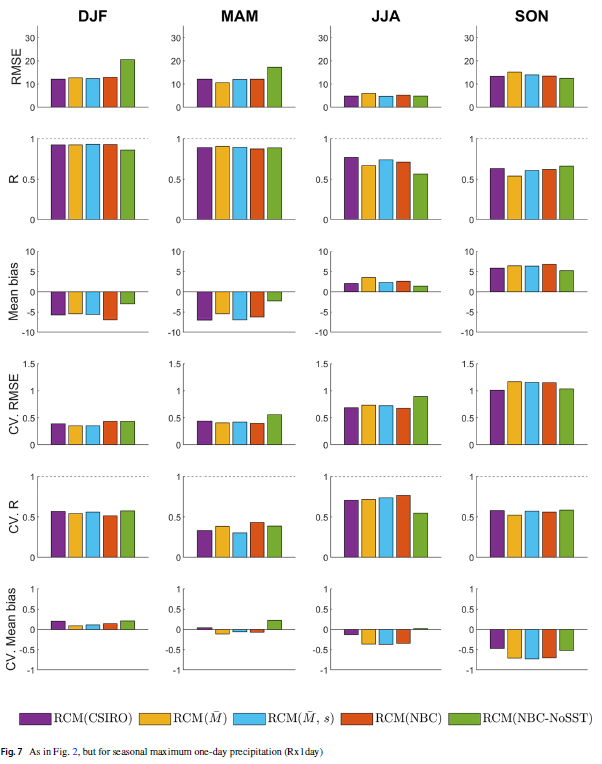
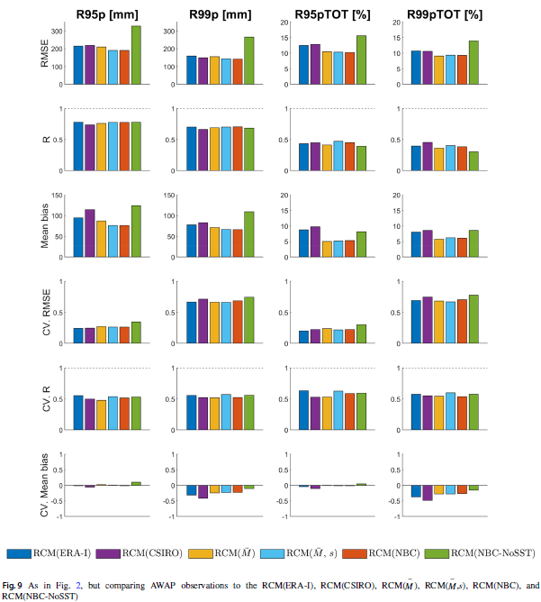
An accurate description of changes in extreme rainfall events requires high-resolution simulations. Regional climate models (RCMs), where GCM data are used to provide input boundary conditions, are widely used to resolve finer spatial scale phenomena. A problem with this, however, is that the inherent systematic biases within the GCM simulation are transferred to the RCM through the model boundaries. This work focuses on the impact of bias correction of lateral and lower boundary conditions on simulated extreme rainfall events. Here, three bias correction approaches are investigated. In increasing order of complexity, these are corrections for the mean, mean and variance, and the nested bias correction (NBC) approach that also corrects for lag-1 autocorrelations at nested timescales. These corrections are implemented on six-hourly GCM data taken from the GCM simulations, which are used to drive the RCM along the RCM lateral boundaries. Daily precipitation extremes indices from the World Meteorological Organization (WMO) Expert Team on Climate Risk and Sectoral Climate Indicators (ET-CRSCI) are used to evaluate bias correction performance on the simulation of extreme rainfall events. The results show that bias correction on the boundary conditions significantly improves extreme indices. It is clear that sea surface temperature (SST) plays an important role in driving the simulation. The results indicate that within the domain (far from boundaries), the errors in precipitation extremes are strongly dependent on the RCM, with a smaller effect coming from changes in the lateral boundary conditions.
Concluding mark
This study focuses on improving simulations of extreme rainfall events, crucial for climate change impact analysis, given the global increase in rainfall intensity and variability. We tested three bias correction techniques on Regional Climate Models (RCMs) to address inaccuracies at regional scales not captured by Global Climate Models (GCMs). We assessed the RCM simulations using indices from the WMO Expert Team on Climate Risk and Sectoral Climate Indicators (ETCRSCI), derived from the Expert Team on Climate Change Detection and Indices (ETCCDI). Our results show that bias correction significantly enhances the simulation of extreme events. Simple corrections improved all evaluated indices over baseline models. Corrections addressing mean and variance further reduced bias in extreme rainfall simulations. However, more complex corrections, nested bias correction, didn’t consistently outperform simpler methods. The study also found that excluding sea surface temperature (SST) correction undermines model performance, highlighting the importance of comprehensive boundary condition corrections for accurate extreme event simulation. Overall, bias correction proves effective in correcting RCM outputs for extreme rainfall events, highlighting its potential to enhance climate impact assessments.








